全自动电子气味分析仪
厂家:ISENSO
品牌:ISENSO
型号:SuperNose
主要参数:
1. 传感器:14个顶级金属氧化物传感器,每个传感器可以在软件中进行选择,独立工作气室,单独拆卸,单独更换。
2. 样品流量:0.1--1L/min,可在软件中进行选择和控制。
3. 传感器清洗流量:0.1-6L/min,可在软件中进行选择和控制。
4. 采样系统:两个内置泵,采集样品与传感器清洗分别由两个独立内置泵进行。
5.采样系统寿命:采样系统连续工作时间(满负荷,24小时不间断测试)可达到10000小时以上。
6.进样方式:采用动态顶空进样,自动进样器进样方式;也可连接气相色谱进行定量分析(任何品牌)。
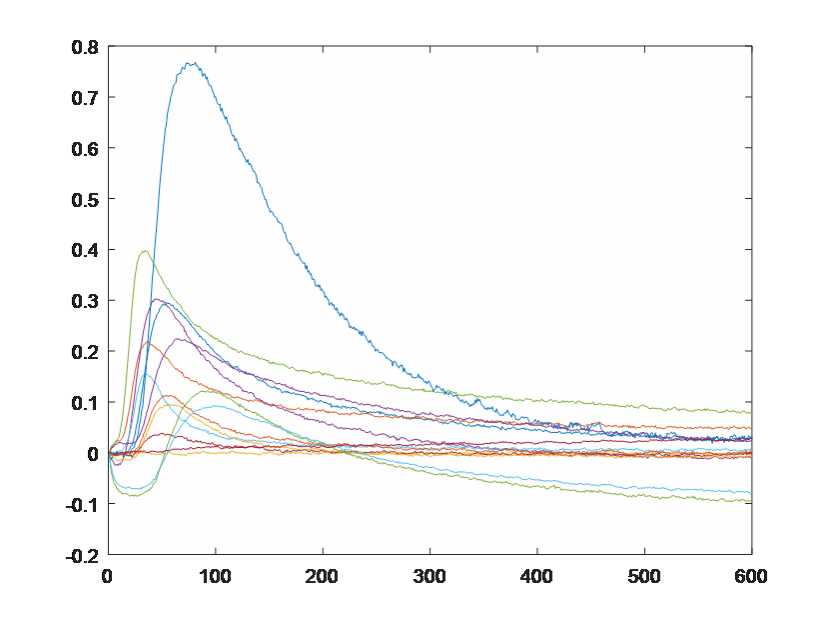
7.数据采集软件:可以调节流量,设置清洗时间和采集时间;可任意选择测试的传感器以及实时显示样品的相应曲线和雷达分布图。
8.数据处理软件:完整智能模式识别以及分析系统,包括PCA、SIMCA、DFA、LDA、PLS、传感器贡献率分析方法等多种方法。
9.仪器显示:双配置选择,液晶显示屏和电脑显示屏。主机面板具有大屏幕液晶屏,可显示试验进程,不接电脑可直接独立工作。
功能介绍:
ISENSO- SuperNose全自动电子气味分析仪(嗅觉检测器)具有14个顶级金属氧化物传感器,利用传感器和待测气体进行反应,提供其特有电子指纹图谱,进行检测、分析、判别气味及挥发性化合物。当一种或多种风味物质经过全自动电子气味分析仪时,该风味物质的“气味指纹”可以被传感器感知并经过特殊的智能模式识别算法提取,满足对气味传感器信号的采集、抽样、信号分析与处理、模式识别等研究的需要。利用建立的指纹图库及各类模式识别算法对样品气味分析做比对试验,在食品的品质和质量控制,真假辨别,货架期和新鲜度评价,原产地保护,不同品牌、不同品种和不同加工方法样品的区分辨别,样品感官属性的定性和定量分析等方面得到了充分的应用,是一种准确、客观、无损、快速的新型检测设备。
检测示例:响应数据
